DALY Calculator
*Note: Users can select “Blank” in “State” if inapplicable.*
Age Group No of Cases No of Death Cases Disability Duration Life Expectancy
Age From   
Age Upto
Male   
Female
Male   
Female
Days
DW experienced by people in Home isolation % Hospitalized cases %

OR

For All Age Group
No of Cases
No of Death Cases
Home Treated Cases %
Hospital Treated Cases %
Disability Duration Days
Life Expectancy
All
Cough
Fever/ Chills
Shortness of breath
Myalgia
Diarrhea
Nausea/Vomiting
Sore throat
Headache
Chest pain
Abdominal pain
Altered mental status/Confusion
Additive
Multiplicative
Maximum Limit


Disability Adjusted Life Years (DALY): DALYs are standard measures to estimate the burden of illness in public health. DALYs take into account the disability caused by the disease (YLD) and the premature mortality (YLL). Determining YLLs, YLDs and DALYs allows us to measure the shortfall of the decreased and life years lost. YLLs explain the loss incurred as a result of death due to an event by comparing it with the years that they would have lived otherwise. YLLs become high in case of either higher mortality or mortality of younger people or both.

DALYs is a time-based measure that incorporates years of life lost from premature mortality (YLLs) and years lived with disability (YLDs) as a result of the disease or health condition's high prevalence in a population. One DALY represents the loss of the equivalent of one year of full health.

DALY= YLL+YLD
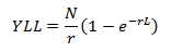
  • Years of Life Lost (YLL): Losses due to premature mortality. It is calculated using the formula:


    Where, r is the discount rate, L= life expectancy at age of death (in years); N= number of deaths

  • Years Lived with Disability (YLD): Losses incurred due to the disability caused by infections or any other health condition; calculated using the formula:


    Where, r= discount rate; D= disability duration (years); I= number of incident cases.

  • Combined Disability Weights(CDW): Calculating disability weights of various symptoms will help improve accuracy


    Where, i and j indicate the Disability Weights (DWs) of ith and jth disabilities.

The COVID DALY calculator is a free, open-source GUI for the calculation of disability-adjusted life years (DALYs), Years of Potential Productive Life Lost (YPPLL), Cost of Productivity Lost (CPL), Years of Potential Life Lost (YPLL), Premature Years of Potential Lost, Working Years of Potential Life Lost (WYPLL), and Value of Statistical Life (VSL), and the quantification of relates uncertainties. The calculator is developed in HTML environment for statistical computing. The main goal of the COVID DALY calculator is to provide a generic and easy-to-use tool for DALY calculations and it’s extensions, and to promote consistency in the uncertainty analysis of COVID DALYs. The results provided by this calculator will depend on the accuracy of the data inputs and will be the responsibility of the user.

This web-page tool is developed as a joint initiative between Center for Public Health Research, Great Lakes Institute of Management, Amrita Institute of Medical Sciences, Ramaiah University of Applied Sciences and University College London. Please direct any questions or comments to CPHR at cphr.mant@gmail.com

Citation: Centre for Public Health Research (CPHR). COVID DALY calculator (v1.5 last update 14 May 2023) Available from: http://coviddaly.cphr-mant.org